In this assignment, we have to design a Convolutional Neural Network to recognize the three diffrent hand postures.
Using conda 4.7.12
conda install -c anaconda keras-gpu
First I took the usage of functions from the attached pdf which refer three functions relating to data prepare: enumerate_files(), read_images(), read_datasets(datasets). As soon I noticed the code here has some problems in enumerate_files(), so I did a little bit changing to make this function working again.
Here is the original function on pdf:
def enumerate_files(dirs, path='All_gray_1_32_32', n_poses=3, n_samples=20):
filenames, targets = [], []
for p in dirs:
for n in range(n_poses):
for j in range(3):
dir_name = path + p + '/000' + str(n * 3 + j) + '/'
for s in range(n_samples):
d = dir_name + '%04d/' % s
for f in os.listdir(d):
if f.endswith('jpg'):
filenames += [d + f]
targets.append(n)
and the version after optimized:
def enumerate_files(dirs, path='All_gray_1_32_32', n_poses=3, n_samples=20):
filenames, targets = [], []
for p in dirs:
for n in range(n_poses):
for j in range(3):
dir_name = path + '/' + p + '/000' + str(n * 3 + j) + '/'
for s in range(n_samples):
d = dir_name + '%04d/' % s
for f in os.listdir(d):
if f.endswith('jpg'):
filenames += [d + f]
targets.append(n)
return filenames, targets
Two places had been changed:
First one
dir_name = path + p + '/000' + str(n * 3 + j) + '/'
to
dir_name = path + '/' + p + '/000' + str(n * 3 + j) + '/'
and second one:
return filenames, targets
which there was no return values.
One small trick for this model is adding a dopout layer. Due to the lack of training data, it may result to overfitting. Applying a dropout layer can efficiently reduce this situation.
model = Sequential()
model.add(Conv2D(32, kernel_size=(3, 3),
activation='relu',
input_shape=input_shape))
model.add(Conv2D(32, (3, 3), activation='relu'))
model.add(MaxPooling2D())
model.add(Conv2D(64, (3, 3), activation='relu'))
model.add(Conv2D(64, (3, 3), activation='relu'))
model.add(MaxPooling2D())
model.add(Flatten())
model.add(Dense(128, activation='relu'))
model.add(Dropout(0.6))
model.add(Dense(3, activation='softmax'))
model.compile(optimizer='Adam',
loss='categorical_crossentropy',
metrics=['accuracy'])
| Layer(type) | Output Shape | Param # |
|---|---|---|
| conv2d (Conv2D) | (None, 30, 30, 32) | 320 |
| conv2d_1 (Conv2D) | (None, 28, 28, 32) | 9248 |
| max_pooling2d (MaxPooling2D) | (None, 14, 14, 32) | 0 |
| conv2d_2 (Conv2D) | (None, 12, 12, 64) | 18496 |
| conv2d_3 (Conv2D) | (None, 10, 10, 64) | 36928 |
| max_pooling2d_1 (MaxPooling2D) | (None, 5, 5, 64) | 0 |
| flatten (Flatten) | (None, 1600) | 0 |
| dense (Dense) | (None, 128) | 204928 |
| dropout (Dropout) | (None, 128) | 0 |
| dense_1 (Dense) | (None, 3) | 387 |
| Total params: 270,307 | ||
| Trainable params: 270,307 | ||
| Non-trainable params: 0 |
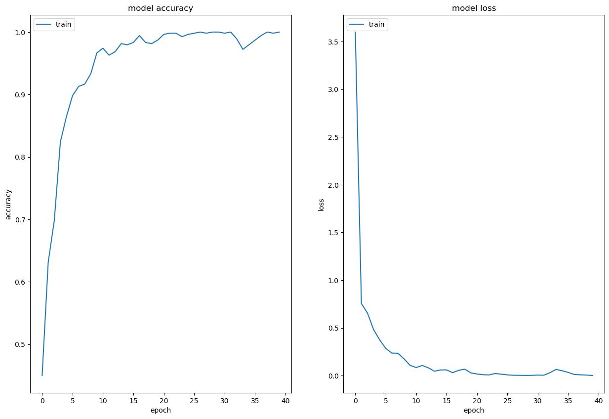
history = model.fit(trn_array, trn_labels,
epochs=40,
batch_size=32,
verbose=1,
validation_data=(tst_array, tst_labels))
# get and show values of test loss and accuracy
score = model.evaluate(tst_array, tst_labels, verbose=0)
print(model.summary())
print('Test loss:', score[0])
print('Test accuracy:', score[1])
Here is the table with most recent training result:
| History | Loss | Accuracy |
|---|---|---|
| 1 | 0.29477801006287335 | 0.94166666 |
| 2 | 0.26194892024828326 | 0.95555556 |
| 3 | 0.2294204789847653 | 0.9444444 |
| 4 | 0.20179064938339353 | 0.9527778 |
| 5 | 0.38640768849549606 | 0.94722223 |
| 6 | 0.38526384320575746 | 0.9527778 |
| 7 | 0.07503241179899002 | 0.9722222 |
| 8 | 0.1655165569934373 | 0.9583333 |
| 9 | 0.4368875512009254 | 0.9138889 |
| 10 | 0.3331649558411704 | 0.925 |

